听力损失和助听放大对普通话辅音感知的影响

来源:本站日期:2024-04-26 08:31:40 浏览:416

爱耳日分享Interspeech论文:听力损失和助听放大对普通话辅音感知的影响


听力声学团队在INTERSPEECH 2023发表名为《Effects of hearing loss and amplification on Mandarin consonant perception》的研究论文。

该文章研究了听力损失和助听器放大对普通话辅音识别的影响。研究发现,听力损失严重程度与辅音识别率有显著的负相关关系,且助听器的使用能显著提高辅音识别率,尽管提升后的表现仍未达到正常听力水平。

听力受损者在辅音识别上存在特定的混淆模式,尤其是高频辅音、短时辅音和送气塞音难以区分。研究结果对于助听器的设计改进和听力康复策略的制定具有重要意义。

      论文第一作者为深圳大学周华莉博士生【参会现场照片】,其他合作者包括广东外语外贸大学贝先明,广州佰灵听力中心许焕狮、孙映凤、林芷欣,深圳大学郑能恒,华南理工大学孟庆林。


摘要

本研究探究了听力损失和助听放大对普通话辅音感知的影响。纳入 44 位听力损失程度不等的听众进行测试,测试内容包括佩戴助听器和不佩戴助听器时的辅音识别能力。结果表明,听阈与辅音识别呈强负相关 (r = -0.87)。助听放大显著改善了辅音识别能力(组均提高超过 20%),但仍未达到完美识别。文中讨论了背后的潜在原因。此外,本研究分析了混淆模式,并将其与文献中正常听力者的混淆模式进行了比较。对于听力损失者而言,最具挑战性的普通话辅音包括:频谱重心位于高频范围的辅音(例如 s 和 z)、持续时间较短的辅音(例如 bd 和 g)以及送气塞音(例如 p k)。本研究结果有助于更好地理解以普通话为母语的听力损失者所面临的困难。






01


引言

      元音和辅音都携带了对言语而言至关重要的信息且是有效交流的前提。然而,听力损失会显著影响人们元音和辅音的感知,其中辅音更容易受损 [1],并导致言语感知困难。这是听障人士的主要困扰。助听器提供的扩音可以通过恢复先前听不到的声学线索、将声音强度压缩到适当范围等方式来改善言语感知。多项研究探讨了听力损失和扩音对英语辅音感知的影响 [2, 3, 4, 5]。普通话作为世界上使用最广泛的语言之一,拥有一套独特的辅音,它们在发音方式和发音位置上与英语辅音有着语音学差异。在发音方式上,英语中塞音和塞擦音的浊音与清音对立在普通话中不存在,取而代之的是普通话中塞音和塞擦音的送气与不送气对立。在发音位置上,普通话有英语中所没有的卷舌音 (zh /tʂ/, ch /tʂh/, sh /ʂ/, r /ʐ/)和龈腭音 (j /tɕ/, q /tɕh/, x /ɕ /)。而另一方面,英语中有普通话所没有的齿龈后音 (/dʒ, tʃ, ʃ, ʒ/)。发音方式和位置的变化会导致声学信息的差异,从而可能受到听力损失的不同影响。例如,普通话中的咝擦音 (s /s/, x /ɕ/, sh /ʂ/) 和塞擦音(如 z /ts/, j /tɕ/, zh /tʂ/ 和 c /tsh/, q /tɕh/, ch /tʂh/)呈现出三向对立。与英语中的咝擦音二向对立(如 /s/ 和 / ʃ /)相比,高频音的三向对立可能对高频听力损失的人群构成更大的挑战。

      尽管普通话使用者众多,但有关听力损失人群普通话辅音感知的数据却惊人的有限。以往的研究已充分分析了正常听力者的普通话辅音混淆模式 [6, 7]。虽然有报道涉及儿童 [8, 9] 或评估助听器算法 [10, 11, 12, 13] 的研究中听力损失者的普通话辅音感知表现,但目前仍缺乏对混淆模式的全面分析。

      本研究旨在填补上述文献空白,探索听力损失和助听器扩音对普通话辅音感知的影响,并将结果与现有的英语辅音研究结果进行比较。我们将展示具有不同程度听力损失的个体佩戴和不佩戴助听器时的普通话辅音识别数据,并进一步分析其混淆模式,与正常听力者的混淆情况进行对比。






02

方法

2.1.语音材料

      刺激音节集包含了 21 个 /Cā / 音节(对于 j、q、x 则是 /Ciā/),这些音节由 21 个普通话声母 (b、p、m、f、d、t、l、g、k、h、j、q、x、zh、ch、sh、z、c、s、y、w)和带第一声调的韵母a进行穷举组合而成(下文中,普通话的声母和韵母将以粗体形式表示)。在汉语语音学研究中,y 和 w 通常归为零声母而非辅音声母,但在实际发音中,在其位于音节开头的部分往往有辅音成分和听觉特征。y 和 w 实际上是作为近音发声的,因此本研究中也将它们纳入考察。声母 n 和 r 未被纳入,因为它们与带有第一声调的韵母 a 的组合音节在口语中不存在或不常用。录音材料由一名受过专业播音训练的女性播音员在消声室中以自然的方式录制,并以 44.1kHz 的采样率保存为 16 位 .wav 文件。

2.2. 受试者

        44位听力障碍受试者(23 名女性)参加了实验,均为感音神经性听力损失者。他们都是以普通话为母语的成年人,年龄范围为 9 至 80 岁,平均年龄为 33.7±17.8 岁。对所有受试者进行了纯音测听,结果如图 1 所示。44 位受试者的组均四频纯音平均阈值 (4fPTA,500 至 4000 Hz 倍频程 [14]) 分别为左耳 63±21 dB HL 和右耳 56 ± 18 dB HL。除 1 人外,所有受试者均为双侧听力损失。

      根据较好耳的 4fPTA,1 人听力正常(定义为较好耳 4fPTA < 20 dB HL),7 人轻度听力损失 (20–34 dB HL),26 人中度听力损失 (35–64 dB HL),10 人重度听力损失 (65–95 dB HL)。在 44 名受试者中,39 人在参加研究之前使用过助听器。所有受试者均在不佩戴助听器的情况下接受了测试(未佩戴助听器条件),其中 38 人佩戴助听器接受了测试(佩戴助听器条件)。在佩戴助听器条件下,使用助听器的受试者使用他们自己的助听器(价格范围 50 至 6000 美元)进行测试,并使用他们日常使用的参数设置。对于没有使用助听器的受试者,实验中为他们双耳验配了一副助听器。助听器的参数根据受试者的听力图由验配软件设定。


图1. 44位受试者的听力图。每条细线代表一位受试者,粗黑线代表整体平均值。线的颜色根据较好耳的 4fPTA 值表示听力损失的程度。


2.3.实验流程

      每位受试者都在两种条件下接受测试:未佩戴助听器和佩戴助听器。条件的顺序在受试者之间随机分配。实验在隔音室中进行。刺激音使用位于受试者前方 1 米的扬声器播放,强度约为 65 dB SPL(声压级)。测试通过定制的计算机程序进行。采用图形用户界面 (GUI) 来呈现刺激音,并在 21 选 1 强制选择 (21AFC) 范式下收集受试者的反应。在每个测试项(trial)中,呈现一个音节,GUI 上同时显示 21 个按钮,按钮上标有相应的汉字和拼音。受试者被要求使用鼠标从 21 个按钮中选择他们听到的音节。声音播放顺序是随机的。在正式测试之前,进行简短的训练以使受试者熟悉流程。测试中没有向受试者提供反应正确与否的反馈。正确反应的比例将作为每个条件下的测试结果,并对混淆模式进行分析。

2.4.混淆模式分析

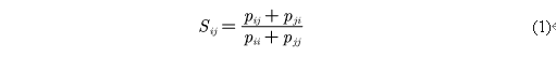
未佩戴助听器和佩戴助听器条件下混淆模式的差异,通过两个辅音之间的相似度(公式 1)进行量化。

图片

其中pij 表示将辅音 i 感知为 j 的比例,pji 表示将辅音 j 感知为 i 的比例,pii表示正确感知辅音 i 的比例,pjj表示正确感知辅音 j 的比例,Sij表示辅音 i 和 j 之间的相似度。Sij值越高,表明两个辅音越相似,因此越难区分。对于任何辅音 i 和 j,我们有 Sij = Sji,并且 Sii = Sjj = 1。因此,相似度矩阵 S 是一个对称矩阵,对角线元素均为 1。为了根据相似度对辅音进行聚类,使用了平均链接层次聚类分析方法。






03


结果

3.1. 识别率

图 2(a) 显示了来自所有听众(n = 44)的未佩戴助听器条件下的数据。其中 6 位听众没有参加佩戴助听器条件下的测试,因此他们的数据被排除在后续分析之外。图 2(b)-(e) 显示了完成未佩戴和佩戴助听器条件下测试的听众(n = 38)的数据。

3.1.1. 未助听结果

听力损失显著影响了辅音识别。图2(a)展示了识别率和基于较好耳4fPTA(the better-ear 4fPTA)的听力阈值之间强相关性(r = -0.87, p < 0.001, R2 = 0.76, 皮尔逊相关系数)。正常听力、轻度、中度、重度听力损失的听障者的平均识别率分别为 100%、85%、38.9%、7.7%(见图2(a)中的插图)。回归直线y = -1.584x + 123.6预测,较好耳4fPTA每增加10dB,识别率下降15%,该预测也表明,较好耳4fPTA为40 dB HL的听障者,辅音识别率的预测得分为50%。

3.1.2. 未助听与助听后结果对比

如图 2(b) 所示,佩戴助听器后辅音识别率显著提高了 22个百分点(t(37) = -5.941, p < 0.001,配对样本 t 检验)。组平均识别率从未佩戴助听器条件下的 41±30%(标准差, SD)提高到佩戴助听器条件下的 63±20%。在个体水平上,38位听障者中有32位的佩戴助听器条件得分高于未佩戴助听器条件得分。没有从助听器中获益的6位听障者,他们主要是日常生活中不使用助听器的轻度听力损失人群。

图2(c)展示了助听器放大效果在不同听力损失程度上的差异。助听器为中度和重度听力损失的听障者带来了显著的识别率提升(分别为26%,t(23) = 6.57, p < 0.0001 和 32%,t(6) = 2.98, p = 0.02,配对样本 t 检验)。然而,对于轻度听力损失的听障者,则没有观察到显著改善(未佩戴助听器 85% 对比佩戴助听器 83%,t(6) = -1.86, p=0.642)。

3.1.3. 单个辅音的识别情况

图 2(c) 和 (d) 分别展示了未佩戴和佩戴助听器条件下每个辅音的识别率。所有辅音均受到由于听力损失所导致的不同程度影响,助听器也提供了不同程度 的改善效果。同时,助听器也缩小了三种听力损失程度之间的识别率差距。在这两种情况下,ml的识别率最高,而p、h、t、d、g、z、cs的识别率最低。

图2. 识别率结果解读。(a) 未佩戴助听器结果与听力阈值(所有受试者,n = 44)的散点图及回归线。插图显示平均未佩戴助听器结果,按听力损失程度分组。(b) 未佩戴助听器和佩戴助听器结果的比较。每条线代表一位受试者。箱形图内的白点表示组均值。(c) 按照听力损失程度分组的平均结果和标准差(未佩戴助听器、佩戴助听器)。(d) 未佩戴助听器情况下,每个辅音的识别率。(e) 佩戴助听器情况下,每个辅音的识别率。所有子图中颜色均一致地表示听力损失程度。


3.2. 混淆模式

基于相似度 (有关相似度计算,请参见 2.4 节) 的聚类结果如图 3(a) 和 (b) 所示。为了展示助听器使用者典型的混淆模式,这里仅包含了日常生活中使用助听器的受试者数据。来自七位轻度听力损失受试者的数据被排除在外。为了与正常听力受试者的结果进行直接比较,参考文献 [7] 中图 2-7(在不同程度的附加噪声下测量)的数据被提取并重新绘制在图 3(c) 中。请注意,我们没有使用辅音 r 和 n,因为它们与元音 a 结合形成的音节在日常会话中并不常用,因此受试者并不熟悉。

图 3 中三个聚类比较的主要发现如下:第一,正常听力者的相似度远低于听力障碍者(请注意三个图3中的子图使用的尺度不同。相似度水平反映了识别辅音的难易程度。接近1的相似度水平表明听障人士在不使用助听器的情况下面临极大的识别难度。);第二,正常听力者主要混淆发音部位,即他们主要混淆发音方式相同但发音部位不同的辅音。图3(c)中显示的主要混淆中,c、ch、k、p  t 都是有送气的清辅音;f、h、ssh都是摩擦音;g、z、zh、bd都是不送气的清辅音;mn都是鼻音。j、qx之间存在发音方式(相同发音部位内)的混淆,但其相似度水平低于相同发音方式内的混淆。相比之下,听力障碍者除了发音部位的混淆之外,还表现出强烈的发音方式混淆。如图 3(b) 所示,他们不仅混淆发音部位不同的bdpt还会混淆发音方式不同的sz;第三,对于正常听力者来说,最容易混淆的是不送气的塞音bd。但对于佩戴助听器的听力障碍者来说,最容易混淆的是送气的塞音pt或者送气的塞音t和擦音h,尽管仍然存在不送气的塞音bd的混淆,但其相似度水平要低得多。这一发现表明,对于听力障碍者来说,送气的塞音比不送气的塞音更难识别,而正常听力者则相反。

图3. 相似度聚类结果。(a) 和 (b) 分别展示了本研究中未佩戴助听器和佩戴助听器条件下的混淆数据。(c) 展示了来自参考引用 [7] 图 2-7 中的正常听力受试者数据。






04


讨论

该研究考察了听力损失和助听器放大对普通话辅音感知的影响。向一群患有不同程度听力损失的普通话使用者呈现了未佩戴助听器和佩戴助听器条件下的辅音识别数据。此外,研究人员基于辅音之间的相似性分析了混淆模式,并将其与文献报道的正常听力者的混淆模式进行了比较。

4.1. 听力损失的影响

听力阈值与普通话辅音识别率呈强负相关 (r = -0.87),这与文献中关于英语辅音的报道一致 [4]。听力障碍者表现出的混淆模式与正常听力者不同,这也与之前英语听力者的研究报告一致 [2, 15, 3]。据我们所知,这是首个利用相似性聚类方法,报告听力障碍者普通话辅音混淆情况的综合研究。本研究观察到的结果可以用普通话辅音的声学特征来解释。发声中心位于低频范围的浊辅音,例如m和l,即使对于听力障碍者来说也能很好地感知。

以下三种类型的辅音即使使用助听器,听力障碍者也很难识别:

1. 发声中心位于高频范围的辅音,例如 s和 z。大多数听力障碍者在高频区域的听力损失往往更严重,因此难以区分这些辅音。

2. 持续时间短的辅音,例如 bd 和 g。这些辅音持续时间短且发音迅速,难以产生深度的听觉印象。即使对于正常听力者来说,这些辅音也很难识别。

3. 送气塞音,例如ptk。区分开头的塞音段已经具有挑战性,并且后续送气段的声学特征相似,导致难以感知。此外,如果开头的塞音段不清晰,听众只听到后面的送气段,他们可能会很容易将 p、tk听成h

4.2. 助听放大的影响

本研究中助听器提供的放大效果显着提升了22%的识别率,这与文献中报道的英语辅音识别率的改善相当 [16]。然而,助听器的性能仍有提升空间,因为即使使用了助听器,听障者在辅音感知方面仍然与正常听力者存在差距 [17, 9, 18]。就混淆模式而言,放大过程显著降低了辅音之间的相似度,并略微改变了混淆模式。

听障人士使用助听器后与正常听力者之间存在的识别差距背后的潜在原因可能是多方面的。首先,虽然助听器可以放大声音以解决可听度问题,但由于听障人士听觉动态范围缩窄,助听器不可避免地会引入压缩。正常听力者可靠使用的辅音之间细微的声学差异会被助听器处理过程扭曲,无法恢复,从而导致具有相似声学特征的辅音混淆。其次,助听器的声学特性和验配也会影响助听用户的言语感知。不同类型的助听器具有不同的技术水平和声学特性,助听器的验配会影响其改善言语感知的有效性。此外,听者的年龄、认知能力和使用助听器的经验等因素也可能发挥作用。

本研究的结果对普通话语人群听力障碍个体的言语康复策略开发具有重要意义。未来的研究应进一步探索混淆背后的潜在机制,并确定减少或消除这些混淆的最有效方法。







05


结论

听力损失显著影响普通话辅音感知。对于中重度听力损失的听者,助听器可使识别率平均提高25%以上,但仍达不到完美效果。听力受损者与正常听力者的混淆模式有所不同。具体来说,他们常混淆三种类型的普通话辅音:频谱重心位于高频区域的辅音(如sz)、持续时间短的辅音(如b、d、g)、以及送气塞音(如p、t、k)。


首页
电话
短信
联系我们